服务区域(service zone)
分区域运行的电梯服务楼层范围。
服务区域(service zone)
分区域运行的电梯服务楼层范围。
上行高峰乘客到达率(5-min handling capacity in terms of percentage of up peak)
因建筑物内纵向交通量时刻处于变动之中,设计规划时应将交通需求高峰作为基础(即办公大楼早晨上班高峰时间段)。建筑物中5min运送能力与该建筑物人员总数的比率称为该时刻交通的乘客到达率。按建筑物种类不同,到达率可参见下表:
|
建筑物的种类 |
到达率 |
|
一个公司的专用大楼 |
20%~52% |
|
准专用大楼 |
16%~20% |
|
政府办公大楼 |
16%~20% |
|
商业事务办公大楼 |
11%~15% |
计算可由下式获得:
乘客到达率=
![]()
分区域运行(zoning operation)
群控的一种程序功能。为提高高峰时运送能力把为同一层楼服务的一组电梯临时划分为若干个运行组。大型办公楼作分区域运行时把电梯分成高层用、底层用几个区域,运行状态分为区域上升高峰或区域下降高峰。
上行高峰(up peak)
电梯交通需求的一种状态。某一时刻与下降需求相比,上升需求出现压倒多数(典型的是办公大楼上班高峰的状态)。这一时段为最严格的交通需求,规划时在此需求基础上作为交通计算。为了更有效地发挥电梯运送能力而把交通状态编入程序,程序中的这一段也称为上行高峰。
分区域控制(zoning control)
群控电梯的一种形式。设计高层大楼电梯时按照建筑物纵向划分高、低几个区域,每个区域内设置最合适的电梯规格和台数。其优点为:大楼中层以上的电梯处于快速区域,高速电梯可缩短运行时间:大楼中低层电梯机房的上部也可增设房间以提高出租面积系数。
停层数(number of stops)
始发层和预计停层数之和。电梯运行周期的技术参数。
往返全程时间(one round trip time)
亦称“运行周期”。电梯从出发层(底端站)开始到达顶端站后再往返回出发层直至下一次出发为止所需的全部时间。交通计算的主要参数。为运行时间(加速、减速、额定运行速度)、门开关动作时间、乘客出入时间和损失时间之和。
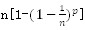
预计停层数(porbable number of stops)
一个运行周期中预计的层站数。电梯运行周期的计算参数。随着电梯额定乘客、服务层楼和运行特性曲线变动。作快速下降运行时,按下式计算:
预计停层数=
式中:n—除出发层以外的服务层站数;
P—从出发层出发时轿厢内的乘客数,一般为额定乘客数的80%。
乘客出入时间(transfer time)
电梯的一个运行周期中乘客出入轿厢所需时间的总和。电梯运行周期计算的参数。受门宽度尺寸和拥挤程度影响。一般每一个乘客的出入时间为2.5~3s左右。
平均应答时间(average response time)
亦称“平均响应时间”“平均待梯时间”。处于任意层站的一组电梯从层站按钮发出召唤到轿厢响应、平层为止所需的时间的平均值。评价电梯服务水平的一个指标。随着交通需求的变化,应答时间变化很大。对于每一个交通需求特性曲线都相应有一个合适的时间区域以求得平均应答时间。